四部備要
四部備要
精裝版(套書)
平裝版(套書)
精裝版(單種)
經部
史部
子部
集部
平裝版(單種)
經部
史部
子部
集部
經部好書推薦
史部好書推薦
子部好書推薦
書目提要
庫藏版
書目提要推薦文
辭海
辭海
哲學類
哲學類
哲學類好書推薦
宗教類
宗教類
宗教類好書推薦
社會科學類
社會科學類
社會科學類好書推薦
史地類
史地類
史地類好書推薦
當代名人傳記
語文類
語文類
語文類好書推薦
藝術類
藝術類
中華文創品
藝術類好書推薦
中華國學叢書
中國國學叢書
中華國學叢書好書推薦
飲冰室叢書
飲冰室叢書
飲冰室叢書好書推薦
絕版書訂製
絕版書訂製
中華徵才公告!
購物清單
訂閱
退訂
Languages
繁體中文
简体中文
GO
1 / 1
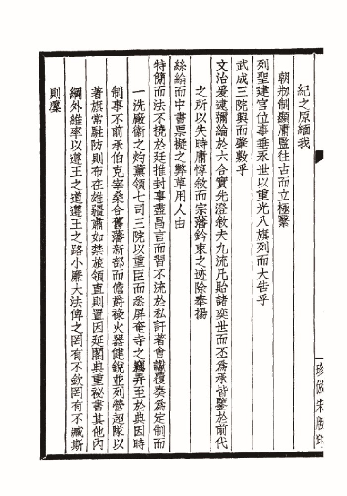
《歷代職官表》── 詳載三代至明之歷代官制建置!
N1029
我要購買
貨到通知我
我要兌換
商品已經加入購物車
繼續選購
前往結帳
商品已經加入詢問車
繼續選購
前往填寫
本書內容仿《唐六典》以清官制為主軸綱領,下分列三代至明之歷代官制建置,每官署部門官職各出一表。
並將清職官所設名稱、員額、品級、職掌記於各表標題之下,以表清帝國職官創建之優點。
作者永瑢是清高宗乾隆帝第六子,號九思主人,善詩文和繪畫又兼通天算。
【內文欣賞】
►
定價:$3800
►
購書
:
《
歷代職官表
》
►
客服:+886-2-8797-8900 Ext.632 張小姐
回上頁
Designed by 米洛
網頁設計
電腦版
|
手機版
訪客人數: 583,287 人次